Background: For young severe aplastic anemia (SAA) patients without HLA matched donors, haploidentical hematopoietic stem cell transplantation can be used as an alternative selection. The grafts of classic Beijing protocol in China is a combination of bone marrow and peripheral blood stem cell. For patients with major or minor blood type incompatibility, bone marrow stem cells need to undergo red blood cell or plasma removal treatment. There was rare reports about haploidentical peripheral blood stem cell combined with a single unrelated cord blood unit for ABO incompatibility haploidentical stem cell transplantation in SAA patients.
Objective: To observe the efficacy of ABO incompatibility haploidentcial peripheral blood hematopoietic stem cell transplantation combined with a single unrelated cord blood unit for SAA patients.
Method s : Fifty-five SAA patients underwent stem cell transplantation from August 2018 to February 2022 in the First Affiliated Hospital of Xi'an Jiaotong Univeristy were divided into two groups based on donor-recipient ABO compatibility, the donor-recipient ABO matched group(BM+PB group)using haploidentical bone marrow and peripheral blood stem cell as grafts, and donor-recipient ABO mismatched group(CB+PB group), using unrelated cord blood and haploidentical peripheral blood stem cell as grafts. The differences of hematopoietic reconstitution, acute and chronic GVHD, CMV and EB virus infection, PFS, and OS between the two groups were compared.
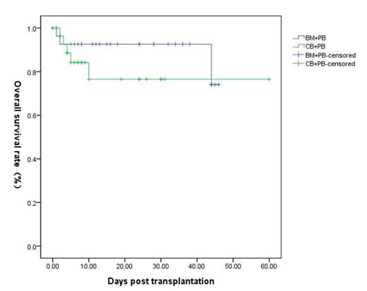
Result s : There were 30 cases in CB+PB group and 27 cases in the BM+PB group. Except for differences in donor-recipient ABO compatibility, the other characteristics of the two groups of patients were comparable((P>0.05). One patient in the BM+PB group had primary graft failure, while the rest of the patients were successfully implanted. There were no significant statistical differences in neutrophil,platelet and red blood cells recovery rates, the incidence of acute and chronic GVHD, CMV, EB virus infection, and PTLD between the two groups of patients(P>0.05). There was no significant statistical difference in OS between the two groups of patients(P>0.05)(Figure 1).
Conclusion: For SAA patients with donor-recipient ABO incompatibility could use haploidentical peripheral blood cell combined with unrelated cord blood for transplantation which had compared outcome with haploidentcal bone marrow and peripheral blood cell transplantation.
Disclosures
No relevant conflicts of interest to declare.

This feature is available to Subscribers Only
Sign In or Create an Account Close Modal